Les lichens épiphytes se développent sur les troncs d’arbres. Ils sont dépendants de l’atmosphère pour leur nutrition et constituent d’excellents bioaccumulateurs de la pollution atmosphérique de fond.
En partenariat avec l’APPA, des dosages de 18 éléments traces métalliques (ETM) ont été réalisés dans les thalles du lichen Xanthoria parietina, prélevés en 2009 au sein de trois bassins de vie du Nord-Pas-de-Calais, à partir d’un maillage kilométrique (Norme NF X43-904).
- Dunkerque, territoire industriel : 60 points
- Lille, territoire fortement urbain : 120 points
- Maubeuge, territoire rural: 40 points
Les 18 éléments traces recherchés dans les thalles de lichens étaient les suivants : l’aluminium (Al), l’antimoine (Sb), l’arsenic (As), Le béryllium (Be), le cadmium (Cd), le cobalt (Co), le chrome (Cr), le cuivre (Cu), le manganèse (Mn), le mercure (Hg), le nickel (Ni), le plomb (Pb), le palladium (Pd), le Platine (Pt), le Rhodium (Rh), le titane (Ti), le vanadium (V), le zinc (Zn).
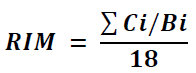
Un indice d’enrichissement du milieu, représentant le niveau d’imprégnation par rapport aux concentrations naturelles retrouvées dans les lichens a été généré à partir de ces données. Le Ratio d’Imprégnation Moyen (RIM) révèle le niveau de dépassement global des niveaux de fond pour 18 métaux. Un RIM de valeur 2 indique que les concentrations en métaux (Ci) sont en moyenne deux fois supérieures aux niveaux de fond (Bi).
Le lichen Xanthoria parietina est une espèce nitrophile très courante dans la région et a un rythme de croissance d’environ 1 cm par an. Des thalles de 6 cm de diamètre ont été récoltés, ce qui correspond donc à une exposition sur les 6 dernières années environ (2003-2009).
Pour mettre en évidence la variabilité spatiale des niveaux d’imprégnation de l’environnement par les ETM, des cartographies interpolées (Krigeage Empirique Bayésien) ont été générées à partir des points d’échantillonnage. Les principales sources d’émission atmosphérique de ces éléments ont été ajoutées aux cartes.
Articles liés :
Occelli F, Bavdek R, Deram A, Hellequin A-P, Cuny M-A, Cuny D and Zwarterook I (2016). Using lichen biomonitoring to assess environmental justice over neighborhoods in an industrial area of Northern France. Ecological Indicators, 60: 781–788.
Occelli F, Cuny MA, Devred I, Deram A, Quarré S, Cuny D. (2013). Étude de l’imprégnation de l’environnement de trois bassins de vie de la région Nord-Pas-de-Calais par les éléments traces métalliques. Pollution Atmosphérique [En ligne], N° 220.
Contamination multimétallique
Ratio d’Imprégnation Moyen (RIM)
Télécharger la fiche cartographique
Contaminations monométalliques
Aluminium
Télécharger la fiche cartographique
Arsenic
Télécharger la fiche cartographique
Béryllium
Télécharger la fiche cartographique
Cadmium
Télécharger la fiche cartographique
Cobalt
Télécharger la fiche cartographique
Chrome
Télécharger la fiche cartographique
Cuivre
Télécharger la fiche cartographique
Mercure
Télécharger la fiche cartographique
Manganèse
Télécharger la fiche cartographique
Nickel
Télécharger la fiche cartographique
Plomb
Télécharger la fiche cartographique
Palladium
Télécharger la fiche cartographique
Antimoine
Télécharger la fiche cartographique
Titane
Télécharger la fiche cartographique
Vanadium
Télécharger la fiche cartographique
Zinc
Télécharger la fiche cartographique

















